

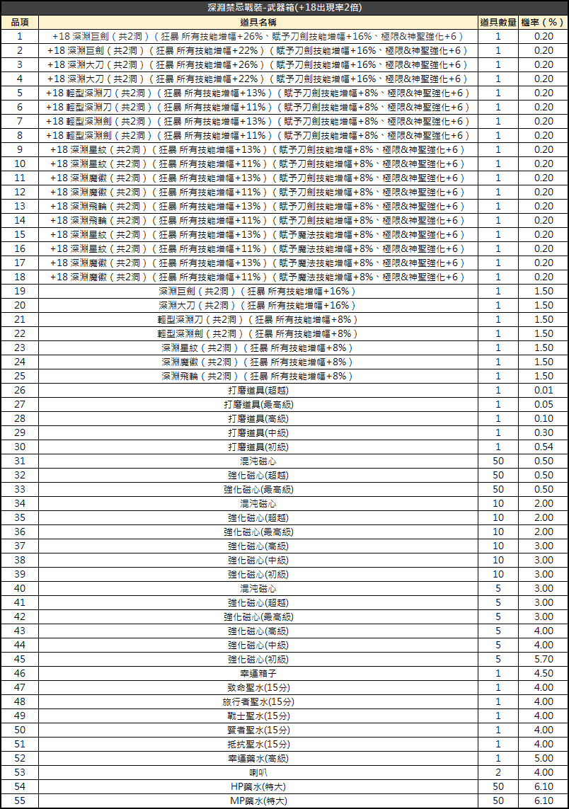
活動名稱:深淵禁忌戰裝-武器箱(+18出現率2倍)
活動時間:2026/03/11(三)00:00 ~2026/03/17(二)23:59

活動名稱:核心強化組合包
活動時間:2026/03/11(三)00:00 ~2026/03/17(二)23:59

活動名稱:緋櫻殘夢幽世羽翼
活動時間:2026/03/11(三)00:00 ~2026/03/17(二)23:59

【注意事項】
1. 隨機寶箱為機會中獎商品,消費者購買或參與活動不代表即可獲得特定商品。
2. 本活動購買之道具均不得以購買錯誤、道具說明未查看詳細…等原因,要求更換等值道具或退還點數。
3. 發現活動或領獎機制出現系統或其他異常時,請於第一時間「聯繫客服」進行回報,若逕行利用該異常取得非屬原活動機制應得之獎勵者,本公司有權終止其進行遊戲及會員服務資格。
4. 掘夢網保留變更、取消或終止本活動的權利,包括但不限於本活動條款及活動辦法。
《 黑色契約MOBILE》營運團隊敬上